Note: This discussion is about an older version of the COMSOL Multiphysics® software. The information provided may be out of date.
Discussion Closed This discussion was created more than 6 months ago and has been closed. To start a new discussion with a link back to this one, click here.
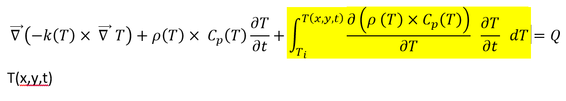
implementing the general form of heat equation.
Posted 2016年5月9日 GMT+2 09:59 Heat Transfer & Phase Change, Modeling Tools & Definitions, Parameters, Variables, & Functions Version 3.5a 0 Replies
Please login with a confirmed email address before reporting spam
i'm using a PDE model to introduce the general form of heat equation.you can find the equation in the attachment file. Im my model the propreties of the matirial are function of temperature.
My quetion is how can i calculate the integral that you can find in this equation.it is possible to introduce the integrale in the PDE or there is an other option that allows me to do it.
Thank you in advance.
Best regards
Zakaria.
Attachments:
Hello Zakaria Idkhissi
Your Discussion has gone 30 days without a reply. If you still need help with COMSOL and have an on-subscription license, please visit our Support Center for help.
If you do not hold an on-subscription license, you may find an answer in another Discussion or in the Knowledge Base.
