聚合物电解质膜(PEM)水电解槽中的欧姆损耗和活化损耗

Application ID: 139561


在聚合物电解质膜(PEM)水电解槽中,电解反应将水分解为氢气和氧气。这两种气体分别被聚合物膜隔开,后者不仅作为物理屏障,还充当高效的电解质,确保反应的高效进行。

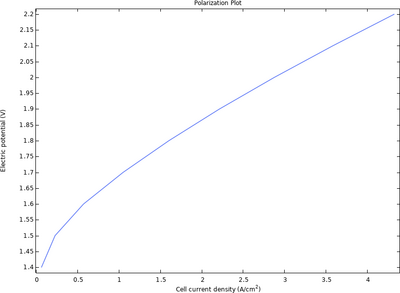
本入门教程计算了 PEM 水电解槽中膜电极组件 (MEA) 的欧姆损耗和活化损耗。模型采用一维几何结构,包含两个多孔传输层 (PTL) 和一个膜层。

在模型中,假设氢气和氧气 PTL 的外部边界与完全湿润的气体流处于平衡状态,并且气体扩散速度快,因此无需考虑质量传递或动量传递的影响。

案例中展示的此类问题通常可通过以下产品建模:


Baidu
map