Discussion Closed This discussion was created more than 6 months ago and has been closed. To start a new discussion with a link back to this one, click here.
Declaring Multiple Integral in Comsol
Posted 2016年5月13日 GMT+2 17:17 Version 5.1 2 Replies
Please login with a confirmed email address before reporting spam
Hi everyone,
I am wondering how multiple integral can be declared in Comsol ( expression in Fig2).
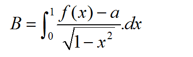
It will not be difficult to declare expression 'B' (Fig1) through Built-In "integral" Function or "Integration(intop1) " over a domain 1D.
Can anyone help me calculate expression in Fig.2 ?
Thanks a lot for any help !
Best regards,
N.N
I am wondering how multiple integral can be declared in Comsol ( expression in Fig2).
It will not be difficult to declare expression 'B' (Fig1) through Built-In "integral" Function or "Integration(intop1) " over a domain 1D.
Can anyone help me calculate expression in Fig.2 ?
Thanks a lot for any help !
Best regards,
N.N
Attachments:
2 Replies Last Post 2016年5月14日 GMT+2 17:46
