Discussion ClosedThis discussion was created more than 6 months ago and has been closed. To start a new discussion with a link back to this one,click here.

BH curves

Please login with a confirmed email address before reporting spam

hi there, can you please help me with a programme or matlab codes used to simulate the BH curves for ferromagnetic material using a matlab

1 Reply Last Post 2011年9月23日 GMT+2 02:22
COMSOL Moderator

Hello Mathomo Moukangwe

Your Discussion has gone 30 days without a reply. If you still need help with COMSOL and have an on-subscription license, please visit our Support Center for help.

If you do not hold an on-subscription license, you may find an answer in another Discussion or in the Knowledge Base.


Please login with a confirmed email address before reporting spam

Posted: 1 decade ago 2011年9月23日 GMT+2 02:22
Hi Mathomo,

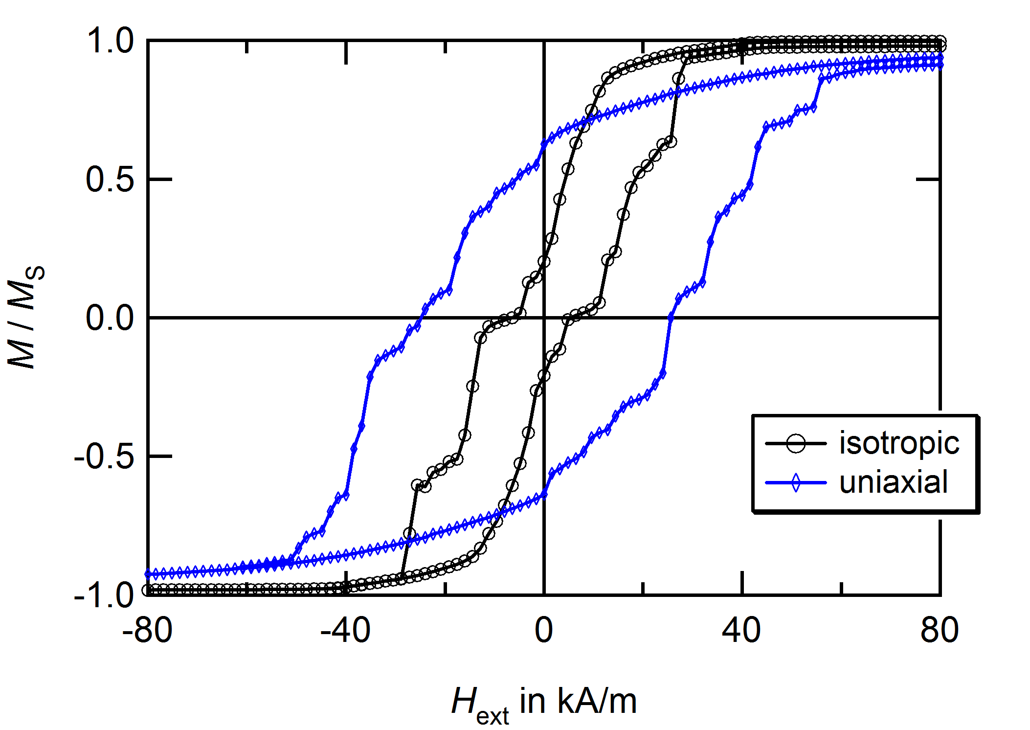
maybe this reply is a little bit late. It is possible to implement BH-curves directly into COMSOL by adding a set of ordinary differential equations which, from a physics point of view, represent the magnetic states of interacting magnetic dipoles. A small number of such dipoles is sufficient to generate hysteretic response functions and, therefore, the evaluation is usually very fast due to the small amount of additional degrees of freedom (2 per dipole). Properties of the curves can easily be modified by the adjustment of different particle parameters.

I attached a simulation result done with COMSOL so you can see whether this is actually something that you are looking for. If you need more information on how to implement the corresponding set of equations, this might be helpful.

www.comsol.com/community/forums/general/thread/22468/

Kind regards,
Alex
Hi Mathomo, maybe this reply is a little bit late. It is possible to implement BH-curves directly into COMSOL by adding a set of ordinary differential equations which, from a physics point of view, represent the magnetic states of interacting magnetic dipoles. A small number of such dipoles is sufficient to generate hysteretic response functions and, therefore, the evaluation is usually very fast due to the small amount of additional degrees of freedom (2 per dipole). Properties of the curves can easily be modified by the adjustment of different particle parameters. I attached a simulation result done with COMSOL so you can see whether this is actually something that you are looking for. If you need more information on how to implement the corresponding set of equations, this might be helpful. http://www.comsol.com/community/forums/general/thread/22468/ Kind regards, Alex

Note that while COMSOL employees may participate in the discussion forum, COMSOL®software users who are on-subscription should submit their questions via theSupport Centerfor a more comprehensive response from the Technical Support team.

Baidu
map