Discussion ClosedThis discussion was created more than 6 months ago and has been closed. To start a new discussion with a link back to this one,click here.
Finding epsilon_r in the Drude-Lorentz model
Posted 2018年8月7日 GMT+2 03:59Version 5.22 Replies
Please login with a confirmed email address before reporting spam
Hi,
I am calculating plasmonic resonance of gold nanoparticles (a bow tie-shaped structure, with light enhancement occuring between the two triangles that make up the bow tie).
I want to calculate the mode volume, and need the permittivty of the gold to do so, which in this case is frequency dependent (at visible wavelength).
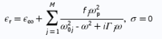
I am using the Drude Lorentz model in the optics package. It calculates the frequency-dependent permittivity epsilon_r.
How can I make COMSOL tell me this value?
Thank you for your help, and sorry if this is an obvious question.
Attachments:
