Discussion Closed This discussion was created more than 6 months ago and has been closed. To start a new discussion with a link back to this one, click here.
heat transfer in solid, pulse
Posted 2020年5月7日 GMT+2 17:22 Ray Optics, Wave Optics, Heat Transfer & Phase Change Version 5.5 1 Reply
Please login with a confirmed email address before reporting spam
Hi all,
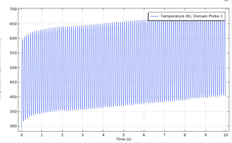
I am simulating pulsed laser material interaction. When th pulse duration is in milisecond range, I would get reasonable resutls. I mean as it would be expected the heat will be dropped down in off time of pulse. However, when I go to nanosecond and microsecond range, the heat won't drop down in off time (see attached figures).
I highly apprecaite if anyone has any suggestion.
Attachments:
