Discussion ClosedThis discussion was created more than 6 months ago and has been closed. To start a new discussion with a link back to this one,click here.
Nonlinear Piezoelectric devices implementation!
Posted 2020年5月12日 GMT+2 07:51Piezoelectric Devices, API, Equation-Based Modeling2 Replies
Please login with a confirmed email address before reporting spam
Hi, i have a serious question about how to implement the nonlinear piezoelectric effect.
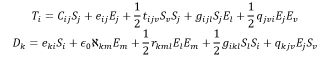
i have to implement the nonlinear piezoelectric effect until 3rd order as you can see in the attached image file. That is a tensorial model.
My question is the following:
¿What is the easiest path to solve this problem? 1) Physics Builder (from Comsol). 2) Modifying equations through Matlab LiveLink?
I dont know how to solve this, since the modification through matlab should not include all the consequences of the equations in the e.g. boundary conditions etc. Meanwhile, the physics builder is the most powerfull tool but!!! documentation and examples are rare, i can not find examples in whole web, and finally i founded two in the installation foder of comsol, ONLY TWO!.
PD: The equations are nonlinear (i must say) and i dont beleve that its implementation can be made through the traditional "Based Equation Modeling".
If you have any example of the physics builder i will be very greatful with you!!!
Attachments:
