Discussion ClosedThis discussion was created more than 6 months ago and has been closed. To start a new discussion with a link back to this one,click here.
Variable Coefficients in Coefficient form PDE
Posted 2020年5月21日 GMT+2 23:46Parameters, Variables, & Functions, Equation-Based ModelingVersion 5.32 Replies
Please login with a confirmed email address before reporting spam
Hello,
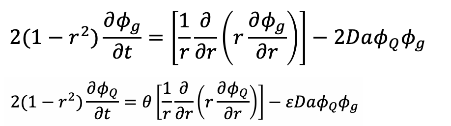
I am working to solve the following two equations in the attached images in COMSOL for a non-dimensionalized reaction diffusion problem. I am using the coefficient form PDE module in COMSOL 5.3. For some reason, the result I obtain is vastly different depending on if I define theterm to be inside d_a (the damping coefficient), or if i divide the whole equation by
and define c (the diffusion coefficient) and f (the source term) appropriately. These two cases should be entirely equivalent, but they are significantly different. Why? Which is correct?
Thank you!
Attachments:
