Discussion Closed This discussion was created more than 6 months ago and has been closed. To start a new discussion with a link back to this one, click here.
How to scale one axis of a 2D plot?
Posted 2020年10月14日 GMT+2 21:08 Results & Visualization Version 5.5 4 Replies
Please login with a confirmed email address before reporting spam
Hello,
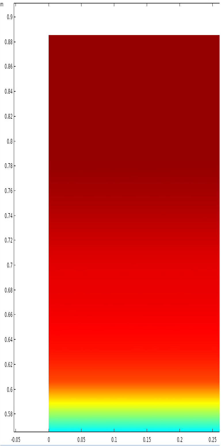
I have model regions which are very thin and long and have strong complex gradients along the shorter side.
How can I scale one of the two axes of a 2D plot (see illustrations attached)?
Opposite to a 1D plot (a curve y = f(x)), where any axis can be easily squized or expanded, the axes of a 2D plot (for example, field as a function of (x,y)) are always shown in the actual scale, equal for both axes. I have tried slices of 3D plots, 2D plots on various options of "Datasets", etc., but none of them worked in the way I want.
It would be very strange if COMSOL cannot do such a simple thing. Now I have to export and plot in an external software every single field distribution just to be able to see the solution result.
Attachments:
