Discussion Closed This discussion was created more than 6 months ago and has been closed. To start a new discussion with a link back to this one, click here.

PML in structural mechanics module

Please login with a confirmed email address before reporting spam

Hello everyone!

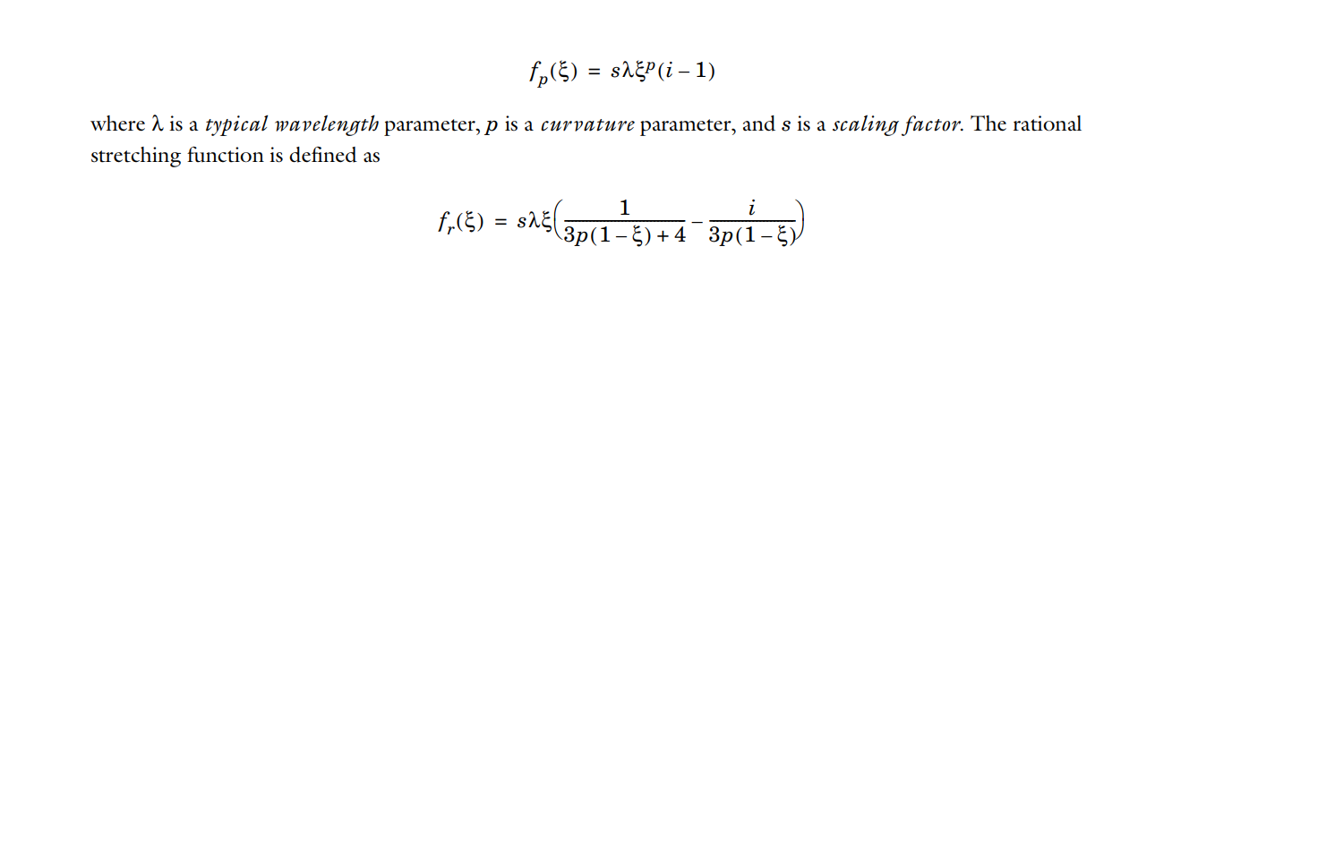
Is there any way I can change the polynomial or rational functional used in PML through Livelink for matlab?I have attatched that function here.

And also while using PML in structural mechanics module, I am not able to use the option for user defined PML.Is there any way to change that?

Thanks



0 Replies Last Post 2020年11月9日 GMT+1 04:36
COMSOL Moderator

Hello Upanya Khandelwal

Your Discussion has gone 30 days without a reply. If you still need help with COMSOL and have an on-subscription license, please visit our Support Center for help.

If you do not hold an on-subscription license, you may find an answer in another Discussion or in the Knowledge Base.

Note that while COMSOL employees may participate in the discussion forum, COMSOL® software users who are on-subscription should submit their questions via the Support Center for a more comprehensive response from the Technical Support team.

Baidu
map