Discussion Closed This discussion was created more than 6 months ago and has been closed. To start a new discussion with a link back to this one, click here.
Help with simple thermal expansion model
Posted 2021年2月18日 GMT+1 11:49 Heat Transfer & Phase Change, Structural Mechanics Version 5.5 1 Reply
Please login with a confirmed email address before reporting spam
Hello everyone, I hope you are all doing well.
It's my first time using Comsol and I am trying to create a simple model of a silicon nitride membrane on top of a silicon substrate. They are both in an environment at 300K and end up being heated at 400K.
I am trying to plot the stress in function of the temperature in the middle of the SiN membrane ("Middle SiN" 2D cut point in my Comsol file).
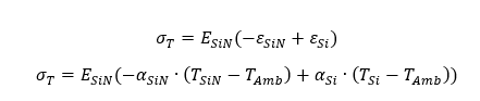
I have developped an analytical model where I assume that the deformation of the SiN will be equal to the deformation of the Si and thus I have this equation (See Attachment: Equations.png)
When you calculate it by hand, using ESiN=324675.75 MPa, CTE of SiN = 2.3E-6, CTE of Si = 2.6E-6 and Tamb = 300, TSi=TSiN=400, you get a curve that should go from 0 to 9.74 MPa.
But when I do it in Comsol, I get a curve going from 4.25 to 66.36 MPa which is a considerably different and bigger
As you can see in this image that provides the curve I get analytically VS Comsol, there is quite a big difference. (See Attachment: CurveComparison.png)
Would anyone happen to know why? I am pretty sure I have messed up the simulation in some way because I am confident of the analytical model.
I was using the finest mesh available.
Thanks a lot for taking the time to read this and potentially trying to help, it's much appreciated.
Attachments:
