Discussion Closed This discussion was created more than 6 months ago and has been closed. To start a new discussion with a link back to this one, click here.
Writing vector form PDE in 3D weak form module in COMOSL
Posted 2021年4月5日 GMT+2 09:00 Equation-Based Modeling 0 Replies
Please login with a confirmed email address before reporting spam
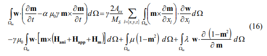
Dear Peers, I am trying to solve LLG equation using COMSOL 3D weak form PDE module. The generalized weak form equation is attached. It contains vector component of reduced magnetization vector mand it's corresponding test functions w. I learnt that, I can not directly define the vector in COMSOL, I have to write three different equations based on the cartesian component of the unit magnetization vector. Pl, suggest me how to write the attached equation in three different equation to solve for the three cartesian components of m? Also, how should the model need to formulate if I want to use JAVA API for the same?
Note: letter in bold are vectors. m is magnetization vector and w is the test function corresponding to that.
Attachments:
Hello Nmisha Arora
Your Discussion has gone 30 days without a reply. If you still need help with COMSOL and have an on-subscription license, please visit our Support Center for help.
If you do not hold an on-subscription license, you may find an answer in another Discussion or in the Knowledge Base.
