Discussion Closed This discussion was created more than 6 months ago and has been closed. To start a new discussion with a link back to this one, click here.
Tracking Mobile Buffers in a system
Posted 2022年7月5日 GMT+2 18:03 Fluid & Heat, Chemical, Physics Interfaces Version 5.2 1 Reply
Please login with a confirmed email address before reporting spam
I have trying to track protons, a HEPES buffer, and a protonated HEPES buffer using a system of equations that alter the weak expressions of the three species I am tracking. My main problem is that when I alter the equations, I have issues where some species are unchanging over time, or approach a value that is unexpected.
My guess is the problem may be regarding the test functions as I am unsure 100% how they function.
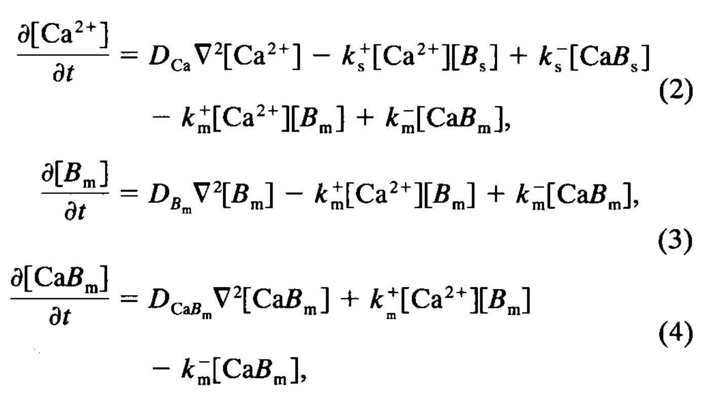
I am getting the equations based on come from the paper: Effects of Rapid Buffers on Ca2+ Diffusion and Ca2+ Oscillations by John Wagner, using eqn 2,3,4 respectively and protons as opposed to calcium.
This is how I wrote it in comsol
-c2t*test(c2)+proton.dflux_c2x*test(c2x)+proton.dflux_c2y*test(c2y)+proton.dflux_c2z*test(c2z)
-km_p*c2*c4*test(c2)+km_n*c5*test(c2)
-c4t*test(c4)+buffer.dflux_c4x*test(c4x)+buffer.dflux_c4y*test(c4y) +buffer.dflux_c4z*test(c4z)
-km_p*c2*c4*test(c2)+km_n*c5*test(c2)
-c5t*test(c5) +Hbm.dflux_c5x*test(c5x)+Hbm.dflux_c5y*test(c5y) +Hbm.dflux_c5z*test(c5z) +km_p*c2*c4*test(c2) -km_n*c5*test(c2)
these are in the same order
