Discussion ClosedThis discussion was created more than 6 months ago and has been closed. To start a new discussion with a link back to this one,click here.
Questions about electromagnetic simulations
Posted 2024年10月13日 GMT+2 07:00Electromagnetics, Studies & Solvers, Physics InterfacesVersion 6.20 Replies
Please login with a confirmed email address before reporting spam
Hello,
I am currently studying Elastomagnetic (EM) sensors and working on modeling them using COMSOL. In my simulation, I am using both the Magnetic Fields and Electrical Circuit physics interfaces.
I have a few questions regarding my setup and results:
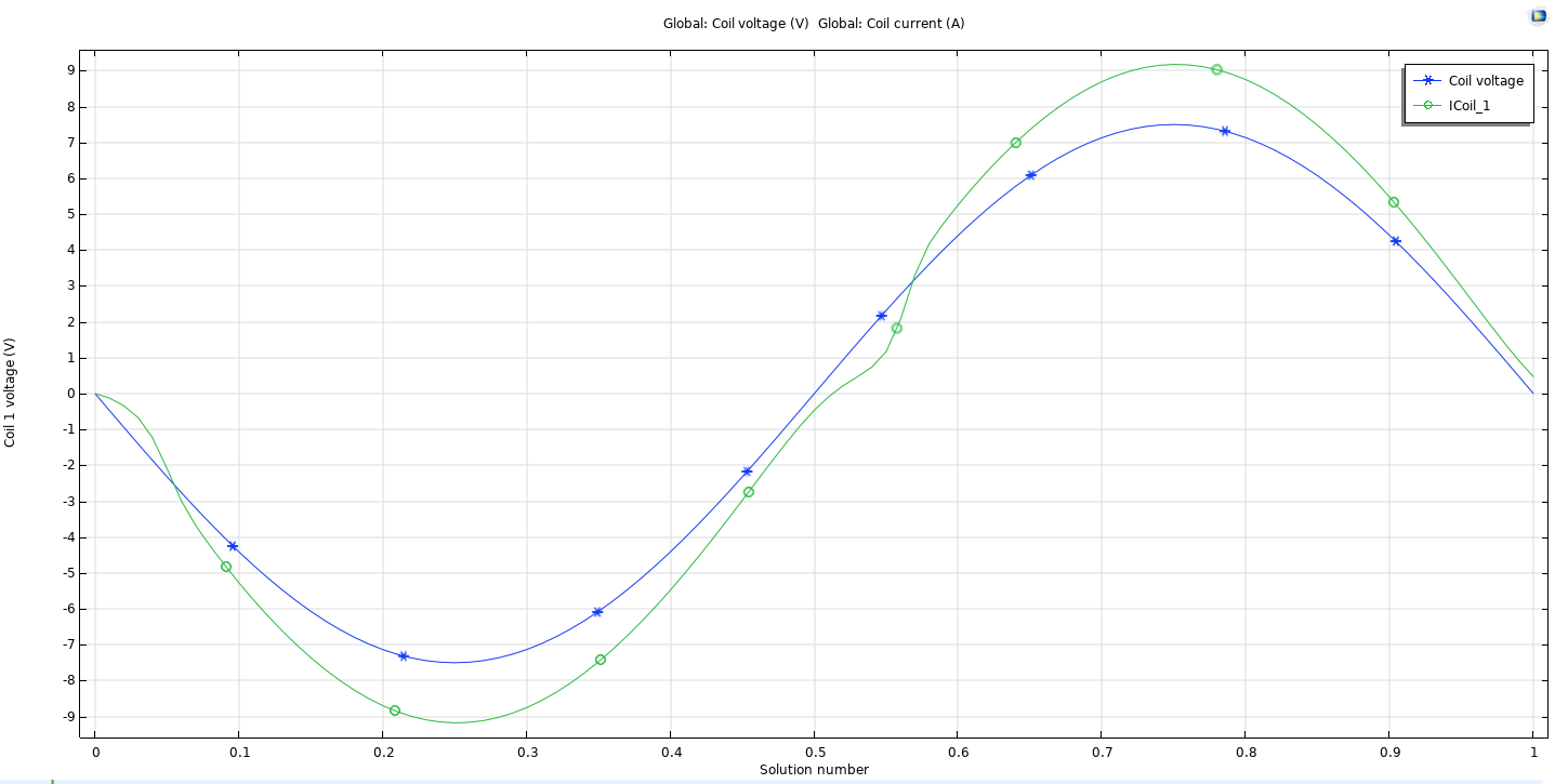
The EM sensor operates similarly to a transformer, where the primary and secondary coils are coaxial. When I apply a sine wave input (in my case, a 1 Hz sine wave) to the primary coil, the current waveform in the results does not maintain the same shape—it appears slightly altered. Could this be due to the inductance effect? Does COMSOL automatically account for inductance in the circuit without the need to explicitly define an inductor component? However, I am unable to find this information in the result expressions. (relevant image attached)
When performing a 3D simulation, if I do not set the Magnetic Vector Potential to Linear in the Magnetic Fields interface but instead choose Quadratic or higher-order settings, the computation time significantly increases, and convergence becomes difficult to achieve. In 3D simulations, is it necessary to use Quadratic or higher-order settings for accurate results?
Lastly, in the attached image, the core is surrounded by two coils. The core's dimensions are a radius of 6.5 mm and a length of 500 mm, while the coil diameters are set to 1.2 mm and 0.5 mm, respectively. Would it be sufficient to use Physics-Controlled meshing with a Fine or Finer setting, or should I opt for a more refined mesh for better accuracy?
Thank you for your assistance. I look forward to your guidance.
Best regards,
Attachments:
Hello Jooyoung Park
Your Discussion has gone 30 days without a reply. If you still need help with COMSOL and have an on-subscription license, please visit our Support Center for help.
If you do not hold an on-subscription license, you may find an answer in another Discussion or in the Knowledge Base.
