“案例下载”页面提供丰富的 COMSOL Multiphysics®教学案例和 App 演示文件,涉及电气、结构、声学、流体、传热和化工等各个学科领域。欢迎下载这些教学案例或 App 演示文件及其随附的操作说明,将其作为您建模仿真工作的绝佳起点。
您可以使用左侧的【快速搜索】工具查找与您的专业领域相关的案例模型和仿真 App。请注意,此处提供的许多案例也可以通过 COMSOL Multiphysics®软件内置的“案例库”进行访问,该选项位于软件的文件菜单中。
中文带有此标签的案例包含中文 PDF 文档。
搜索:
Corrosion Module
这个二维模型演示如何模拟阳极腐蚀造成几何变形的电偶,使用镁合金 (AE44) 的参数数据,镁合金是一种盐溶液(盐水)中的低碳钢电耦。扩展阅读
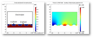
本例针对代表性的横截面微结构构型,对镁合金中两个不同相之间的电偶腐蚀进行建模。 “相场”接口用于对导致拓扑变化的构成相的溶解进行建模。腐蚀边界处的电极动力学被定义为利用相场 δ 函数的域项。扩展阅读
该示例模拟半径为 10um 的微电极的伏安法。在这种常见的电化学分析技术中,对工作电极的电位进行上下扫描,并记录电流。电流-电压波形(“伏安图”)提供有关分析物的反应性和质量传递属性的信息。 ...扩展阅读
此模型模拟母线板的大气电偶腐蚀,母线板包含一个铜法兰和一个与锌螺母和螺栓接触的铝合金法兰。“二次电流分布”接口用于求解电极域中的电势,“电流分布,壳”接口用于求解电解质薄层中的电解质电位。 ...扩展阅读










