“案例下载”页面提供丰富的 COMSOL Multiphysics® 教学案例和 App 演示文件,涉及电气、结构、声学、流体、传热和化工等各个学科领域。欢迎下载这些教学案例或 App 演示文件及其随附的操作说明,将其作为您建模仿真工作的绝佳起点。
您可以使用左侧的【快速搜索】工具查找与您的专业领域相关的案例模型和仿真 App。请注意,此处提供的许多案例也可以通过 COMSOL Multiphysics® 软件内置的“案例库”进行访问,该选项位于软件的文件 菜单中。
中文 带有此标签的案例包含中文 PDF 文档。
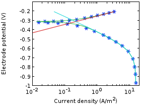
本教学案例介绍如何使用“优化”接口根据极化数据执行电极动力学参数估计。 构建的零维电极极化模型用于区分金属溶解和氧还原反应的动力学表达式。 本教学案例需要“优化模块”才能运行。 扩展阅读
镁 (Mg) 作为一类可降解的金属生物材料,因其出色的特性在生物医学领域受到广泛的关注。 本模型模拟镁合金支架在血管中的溶解过程。考虑到圆周对称性,模型仅使用了实际几何结构的十二分之一。 第一个研究使用“水平集 ... 扩展阅读
当金属结构暴露在潮湿的空气中,形成一层厚度可达几百微米的电解质薄膜时,就会发生大气腐蚀。 本例中的模型考虑了涉及 10 种物质和 6 个均相反应的电荷传输和质量传递。 该模型计算薄膜中物质的瞬态和空间分布 ... 扩展阅读
轻轨交通 (LRT) 系统通常利用直流电力来驱动列车。在这些系统中,铁轨中的电位梯度可能导致杂散电流的产生,从而腐蚀附近的金属结构。 本例使用“阴极保护”接口的“边电极 ... 扩展阅读
本例通过模拟阵列中多个石油平台的影响,扩展了单个石油平台示例的防腐蚀系统分析。 其中使用“边上电流分布,BEM”接口,通过将所有电极模拟为沿框架几何边的圆柱,显著缩小了问题规模,大大减少了计算时间。 扩展阅读
交流电 (AC) 引起的腐蚀在石油和天然气工业中往往比较严重,当管道靠近大功率传输线时尤其如此。 本例介绍的数值模型首先使用稳态分析评估直流 (DC) 外加电势对腐蚀的影响,接着使用瞬态分析评估交流电对腐蚀的影响。 ... 扩展阅读
一种用于测试材料大气腐蚀抗力的既定基准方法是在气候试验箱中进行加速腐蚀试验 (ACT),主要目的是可靠且快速地预测材料的长期特性。ACT 试验通过几周的时间对样品施加循环条件,典型的加速腐蚀的测试内容包括:升高的温度 ... 扩展阅读
在实际工程中,经常采用铝 (Al) 绝缘体来减轻镁合金 (Mg) 与低碳钢 (MS) 之间的电偶腐蚀。本模型演示了如何使用参数化研究来分析铝绝缘体厚度对电偶腐蚀严重程度的影响。这里使用文献中的实验极化数据实现电极动力学。 扩展阅读
