“案例下载”页面提供丰富的 COMSOL Multiphysics®教学案例和 App 演示文件,涉及电气、结构、声学、流体、传热和化工等各个学科领域。欢迎下载这些教学案例或 App 演示文件及其随附的操作说明,将其作为您建模仿真工作的绝佳起点。
您可以使用左侧的【快速搜索】工具查找与您的专业领域相关的案例模型和仿真 App。请注意,此处提供的许多案例也可以通过 COMSOL Multiphysics®软件内置的“案例库”进行访问,该选项位于软件的文件菜单中。
中文带有此标签的案例包含中文 PDF 文档。
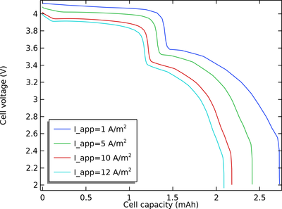
本例演示了“锂离子电池,单离子导体”接口,该接口用于研究带有固体电解质的锂离子电池的放电。几何结构为一维结构,模型为等温状态,其中分析了不同放电电流和固体电解质电导率下的现象。扩展阅读
副反应和退化过程可能导致许多不良影响,造成锂离子电池容量损失。通常,电池由于不同位置同时发生的多个复杂现象和反应而老化,退化率在负载循环期间的特定阶段有所不同,具体取决于电势、局部浓度、温度以及电流的方向 ...扩展阅读
大型锂离子电池广泛应用于电动汽车和固定式储能应用。在(堆叠)软包电池单元设计中,所有电流都从电池的“极耳”流出,随着电池尺寸和功率的增大,高导电金属箔集流体中的电压梯度可能会起作用 ...扩展阅读
锂离子电池 (LIB) 中的液态电解质通常由锂盐(如 LiPF6)溶解于一种或多种溶剂中构成。 商用 LIB 普遍采用多种基于碳氢化合物的溶剂与添加剂的混合体系。一般情况下,隔膜和电极内局部电解质的传递属性(如电导率 ...扩展阅读
电极平衡是锂离子电池设计中的一个重要因素。 在该模型中,我们使用电池的实验开路电压和一些基本假设,然后使用优化求解器,找到适当的电极平衡。 阅读这篇综合博客文章了解更多详细信息:用 COMSOL® ...扩展阅读
本案例是锂离子电池的二维教学案例,其中的电池几何结构并非基于实际应用,仅用作二维模型设置的演示目的。扩展阅读
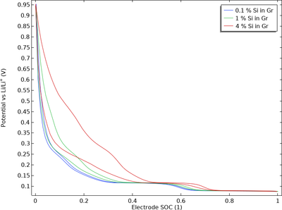
磷酸铁锂 (LFP) 是常用的锂离子电池正极材料,具有一个显著特点:作为锂化状态的函数,其平衡(开路)电位呈现一个较大且电位几乎恒定的平坦平台。该平台还表现出电压滞后现象,即在锂化和脱锂循环过程中,平台电位会产生差异 ...扩展阅读
钠离子电池 (SIB) 被广泛视为锂离子电池 (LIB) 的理想替代品。 从化学角度分析,钠离子电池使用钠离子 (Na+) 代替锂离子 (Li+) 进行电解质电荷传输,并在电极反应中充当氧化还原物质。相对于锂离子而言 ...扩展阅读













