“案例下载”页面提供丰富的 COMSOL Multiphysics®教学案例和 App 演示文件,涉及电气、结构、声学、流体、传热和化工等各个学科领域。欢迎下载这些教学案例或 App 演示文件及其随附的操作说明,将其作为您建模仿真工作的绝佳起点。
您可以使用左侧的【快速搜索】工具查找与您的专业领域相关的案例模型和仿真 App。请注意,此处提供的许多案例也可以通过 COMSOL Multiphysics®软件内置的“案例库”进行访问,该选项位于软件的文件菜单中。
中文带有此标签的案例包含中文 PDF 文档。
此模型计算商用电容耦合等离子体反应器的离子能量分布函数 (IEDF),结果与实验数据非常一致。扩展阅读
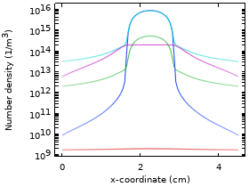
本教学案例求解氩气/氧气混合物中的电感耦合等离子体反应器。该模型计算流体流动和气体加热,并讨论对电负性放电进行建模的重要方面和策略。扩展阅读
电容耦合等离子体的基础物理学相当复杂,即使是相当简单的几何构型和等离子体化学反应也是如此。此模型基于多个不同计算结果对“电容耦合等离子体”物理场接口进行基准测试。扩展阅读
本教学案例演示如何建立脉冲电容放电模型。导通脉冲包含 13.56 MHz 下的 10 个激励周期,以及后续 100 个无激励周期。本例研究 I-V 特性、电子密度、温度和等离子体电位。扩展阅读
此教学案例演示如何计算电容耦合等离子体的阻抗。通过时间周期 研究计算等离子体的时间周期解,随后,将解转换为时域解,再调用快速傅里叶变换 (FFT) 求解器,这样可以针对给定的一组输入参数计算等离子体阻抗 ...扩展阅读
本模型通过求解两项近似玻尔兹曼方程来研究氮气和氧气混合物(背景干空气),并通过在电子碰撞截面上对电子能量分布函数进行适当积分来计算电子传递系数和源项。此外,本例还演示如何准备可导出的电子能量分布函数,以便用于“等离子体 ...扩展阅读
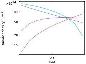
本教学案例求解氩气/氧气混合物中的一维电容耦合等离子体反应器,并讨论对电负性放电进行建模的重要方面和策略。扩展阅读
电子能量分布函数 (EEDF) 在总体放电特性中起着重要作用。EEDF 存在解析形式,如麦克斯韦或 Druyvesteyn,但在某些情况下,解析形式不适合放电物理场。 ...扩展阅读
该模型演示如何使用形状优化来设计 ICP 反应器的线圈以获得均匀的等离子体。所研究的反应器是一个平面 ICP,其线圈沿径向分布。本例使用“优化”研究步骤来找到最佳线圈位置,以尽可能地减小反应器中心的电子密度梯度。此外 ...扩展阅读










