“案例下载”页面提供丰富的 COMSOL Multiphysics®教学案例和 App 演示文件,涉及电气、结构、声学、流体、传热和化工等各个学科领域。欢迎下载这些教学案例或 App 演示文件及其随附的操作说明,将其作为您建模仿真工作的绝佳起点。
您可以使用左侧的【快速搜索】工具查找与您的专业领域相关的案例模型和仿真 App。请注意,此处提供的许多案例也可以通过 COMSOL Multiphysics®软件内置的“案例库”进行访问,该选项位于软件的文件菜单中。
中文带有此标签的案例包含中文 PDF 文档。
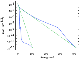
电子能量分布函数 (EEDF) 在总体放电特性中起着重要作用。在本例中,我们研究氩等离子体的形成周期,其中着重分析 EEDF。等离子体由 1 kV 直流电源电压在 100 mTorr 下于 4 cm 间隙内产生 ...扩展阅读
本教学案例介绍了在大气压下对氮气中的双头流注的研究。初始的电子种子被放置在两个电极之间,这两个电极对气体施加 52 kV/cm 的初始电场,产生向电极传播的负和正流注。流注的电子密度、电场和传播速度与 ...扩展阅读
求解玻尔兹曼方程可用于验证电子碰撞截面,传统方法是通过求解玻尔兹曼方程的两项近似,并将结果与群集实验进行比较来推断碰撞截面的集合。本模型求解了玻尔兹曼方程的两项近似,并将计算得到的漂移速度和电子温度与实验数据进行了比较。扩展阅读
本教学案例通过求解与经典的两项近似法中的均质、瞬态电子玻尔兹曼方程全耦合的等离子体流体类型方程,对直流辉光放电进行建模。针对空间的每个位置求解近似的玻尔兹曼方程,并通过电子平均能量将其与流体类型方程相耦合 ...扩展阅读
本例举例说明如何模拟终端 边界条件下电流和电压激励之间的切换。有关这一现象的更详细描述以及建模过程,请参阅博客文章“使用 AC/DC 模块控制电流和电压源”。扩展阅读
热电冷却器广泛用于各种电子设备冷却,涉及从消费品到航天器设计在内的各个应用领域。热电模块是热电在冷却工程中的一种常见应用,其中含有的多个热电臂夹在两块导热板中间,一块导热板受冷,另一块受热 ...扩展阅读










