“案例下载”页面提供丰富的 COMSOL Multiphysics®教学案例和 App 演示文件,涉及电气、结构、声学、流体、传热和化工等各个学科领域。欢迎下载这些教学案例或 App 演示文件及其随附的操作说明,将其作为您建模仿真工作的绝佳起点。
您可以使用左侧的【快速搜索】工具查找与您的专业领域相关的案例模型和仿真 App。请注意,此处提供的许多案例也可以通过 COMSOL Multiphysics®软件内置的“案例库”进行访问,该选项位于软件的文件菜单中。
中文带有此标签的案例包含中文 PDF 文档。
本模型分析 LED 中键合线的焦耳热和热膨胀现象,旨在计算键合线因发热导致的温升幅度,以及由热膨胀引发的机械应力。这些应力结果可用于评估连接 LED 与框架的楔形焊点和球形焊点的疲劳风险。扩展阅读
本例采用以下三种不同的电子能量分布函数 (EEDF) 重新计算了“介质阻挡放电”(DBD) 一维模型: 麦克斯韦函数 Druyvesteyn 函数 基于玻尔兹曼方程,两项近似 接口计算的 EEDF ...扩展阅读
本例举例说明如何模拟终端 边界条件下电流和电压激励之间的切换。有关这一现象的更详细描述以及建模过程,请参阅博客文章“使用 AC/DC 模块控制电流和电压源”。扩展阅读
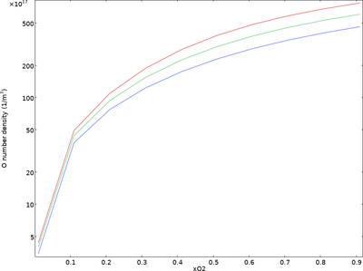
本例采用全局模型研究 CF4/O2 等离子体反应器中的硅刻蚀过程,并对离子能量和氧摩尔分数进行参数化扫描计算。扩展阅读
This tutorial model solves for an inductively coupled plasma reactor in a mixture of CF4/O2. The plasma ...扩展阅读
In this example, an CF4/O2 plasma reactor at low pressure is studied using a global model. Parametric sweeps ...扩展阅读







