技术资料
白皮书和应用说明
Simulation of Current Collector Corrosion Effects on the Efficiency of Molten Carbonate Fuel Cells
发布日期2008
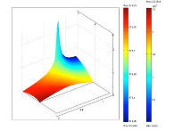
Corrosion and contact ohmic resistance of the stainless steel current collectors in molten carbonates is one of the greatest obstacles to widespread application of molten carbonate fuel cells (MCFC).
We simulate the variation of material parameters values, accounting for the impact of corrosion of the metallic current collectors on the performance of the porous cathode. Furthermore, we couple a thermal equation to the model and introduce appropriate dependencies of temperature on the model parameters.
下载
- Bozzini.pdf- 0.54MB
