根据我们的质量方针,COMSOL 提供并维护一个案例库,其中包含成百上千的模型示例,我们会在最新 COMSOL Multiphysics®软件版本中定期测试这些模型,这些案例还包括来自ASME、NAFEMS以及TEAM problems的基准问题。
我们的“验证和确认”(V&V) 测试套件提供精确的求解结果,不论是与解析结果还是已建立的基准数据相比较,都具有高度的一致性。下面提供的模型是 COMSOL Multiphysics®软件内置“案例库”的一部分,其中包含各种基准问题的参考值和来源,以及相关的分步操作说明,供您在自己的计算机上重现预期结果。您不仅可以使用这些模型来记录软件质量保证 (SQA) 和数字代码验证 (NCV) 工作,还可以将其纳入内部培训计划。
微镜在某些 MEMS 器件中用于控制光学元件,这个由空气包围的振动微镜模型利用“热黏性声-壳相互作用”用户界面对流-固耦合进行建模,因此它包含微镜相对于周围空气的正确黏性阻尼和热阻尼,采用频率响应分析和特征频率分析 ...扩展阅读
本条目是 DIN EN 1991-1-2(对受火结构的作用)中一些示例的汇编。 包含以下模型: 1. 冷却 (HT) 2. 加热 (HT) 3. 多层传热 (HT) 4. 热伸长(SME 和热应力) 5. 热膨胀 ...扩展阅读
本例介绍一维稳态热分析,其中包括指定环境温度下的辐射。 将根据该基准模型的解得到的温度场与 NAFEMS 基准解进行了比较。扩展阅读
电化学超级电容器具有比传统电容器更高的能量密度,还具有充电速度快、充放电周期长、工作温度范围大等优点,在混合动力电动汽车中得到广泛应用。 此一维教学案例模拟了电化学电容器中多孔电极的电流分布和电极利用率。Nernst ...扩展阅读
本例根据嵌入黏弹性基体中的弹性颗粒的个体属性来计算颗粒复合材料的均匀弹性和黏弹性属性。 其中使用“结构力学模块”中的“单元周期性”特征将周期性边界条件应用于颗粒复合材料的基本单元。 ...扩展阅读
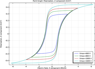
铁电材料在大的外加电场下表现出非线性极化特性,例如磁滞和饱和。许多压电材料是铁电性的。模型分析了一个由 PZT 压电陶瓷材料制成的简单执行器,该执行器受到外加电场的作用。扩展阅读










