根据我们的质量方针,COMSOL 提供并维护一个案例库,其中包含成百上千的模型示例,我们会在最新 COMSOL Multiphysics®软件版本中定期测试这些模型,这些案例还包括来自ASME、NAFEMS以及TEAM problems的基准问题。
我们的“验证和确认”(V&V) 测试套件提供精确的求解结果,不论是与解析结果还是已建立的基准数据相比较,都具有高度的一致性。下面提供的模型是 COMSOL Multiphysics®软件内置“案例库”的一部分,其中包含各种基准问题的参考值和来源,以及相关的分步操作说明,供您在自己的计算机上重现预期结果。您不仅可以使用这些模型来记录软件质量保证 (SQA) 和数字代码验证 (NCV) 工作,还可以将其纳入内部培训计划。
本模型代表多种应用中存在的弹性管中的流动测试案例。这个特定的案例对黏弹性流动进行建模,并表示通道中的稳定流动,其中上壁的一部分由承受外压的弹性板代替。最终重现了文献中报告的结果。扩展阅读
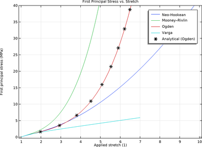
模型旨在使用不同超弹性材料模型研究橡胶气球的膨胀,并将结果与解析式进行了比较。 可控的膨胀有益于临床应用、心血管研究和医疗器械行业,因此了解气球膨胀过程中的超弹性特性非常重要。示例源自 G. Holzapfel ...扩展阅读
本例采用“修正剑桥黏土模型”和“扩展巴塞罗那基本土壤模型”对非饱和土层上浅基础的沉降和隆起进行分析,演示了由于地下水位线运动引起的孔隙吸力效应,以及由此造成的黏土层沉降和隆起。扩展阅读
本例描述在连铸工艺中,从熔融金属到固态金属的冷却凝固过程。模型中包含非等温属性、温度分布、流场和相变。本例使用任意拉格朗日-欧拉法对相变进行建模。扩展阅读
本例是流经圆管的非等温层流验证模型,将仿真得到的传热系数与文献中基于努塞尔数相关性函数的理论值进行了比较。扩展阅读
模拟带电粒子束在高电流和高相对论速度下的传播时,空间电荷和电子束电流会产生显著的电力和磁力,这两个力分别使电子束发散和聚集。 在本例中,带电粒子追踪 ...扩展阅读
在此基准模型中,固体颗粒在充分发展的湍流通道流中释放,颗粒受到曳力作用,该曳力包括来自流体湍流的贡献,流体湍流通过连续随机游走 (CRW) 模型实现,由于通道中的湍流为各向异性,惯性较大的颗粒往往聚集在通道壁附近 ...扩展阅读
本例显示如何使用“声学模块”为流体中有限幅值声波的瞬态非线性传播进行建模。其中在线性波动方程中手动添加了一个非线性项,这等同于求解一个二阶 Westervelt 方程。当累积的非线性效应在局部非线性效应中占主导时 ...扩展阅读
此模型利用等离子体,时间周期 接口对美国国家标准与技术研究院 (NIST) 气体电子会议 (GEC) 参比电池进行二维研究。二维示例有助于理解物理场,而不会消耗过多的 CPU 时间。 该参比电池由固定功率驱动 ...扩展阅读










