Note: This discussion is about an older version of the COMSOL Multiphysics® software. The information provided may be out of date.
Discussion Closed This discussion was created more than 6 months ago and has been closed. To start a new discussion with a link back to this one, click here.
volume averaged concentration
Posted 2015年6月29日 GMT+2 10:25 Version 4.4 2 Replies
Please login with a confirmed email address before reporting spam
Hi
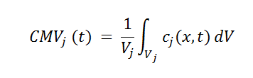
I am working with a 2D axisymmetric geometry of the arterial wall. I am solving transport of diluted species (time dependent). I would like to compute the volume averaged concentration of the eluted drug in each of the layers of the arterial wall, at any instant. How can I do this?
I attach the equation.
Thanks in advance,
Javier
I am working with a 2D axisymmetric geometry of the arterial wall. I am solving transport of diluted species (time dependent). I would like to compute the volume averaged concentration of the eluted drug in each of the layers of the arterial wall, at any instant. How can I do this?
I attach the equation.
Thanks in advance,
Javier
Attachments:
2 Replies Last Post 2015年7月2日 GMT+2 12:56
