“案例下载”页面提供丰富的 COMSOL Multiphysics®教学案例和 App 演示文件,涉及电气、结构、声学、流体、传热和化工等各个学科领域。欢迎下载这些教学案例或 App 演示文件及其随附的操作说明,将其作为您建模仿真工作的绝佳起点。
您可以使用左侧的【快速搜索】工具查找与您的专业领域相关的案例模型和仿真 App。请注意,此处提供的许多案例也可以通过 COMSOL Multiphysics®软件内置的“案例库”进行访问,该选项位于软件的文件菜单中。
中文带有此标签的案例包含中文 PDF 文档。
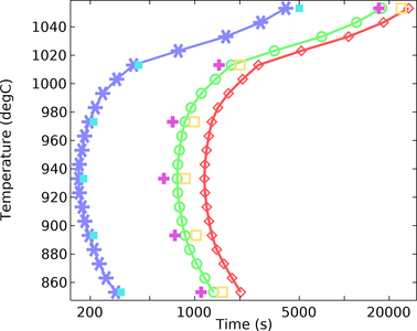
此模型演示如何使用“金属加工模块”和“优化模块”根据 TTT(等温转变)数据来校准相变模型的参数。扩展阅读
本教学模型基于 Jock 等人关于自旋轨道量子比特的论文,求解均匀磁场中简单硅量子点的两分量薛定谔方程的特征态。模型中使用了“薛定谔方程”接口的内置“洛伦兹力”域条件来考虑矢势对动量的贡献;同时,采用内置的“零阶哈密顿 ...扩展阅读
本例研究一个由压电换能器驱动的玻璃毛细管中的声阱的三维模型。该系统通过压电换能器上的振荡电势驱动,在固体内诱发机械振动,并在流体中形成声压场。模型中还对压电换能器产生的热量进行了分析 ...扩展阅读
这个基准模型在频域和时域中计算作用在振动圆盘上的总力,并将两个结果与通过解析方式推导的表达式进行了比较。当振幅足够小时,系统呈线性,频域和时域结果与理论值非常一致。在时域中探讨了较大幅度的振动 ...扩展阅读
在这个模型中,我们研究了支撑在两个浮环轴承上的涡轮增压器。环上的薄膜力使其在轴承内旋转。在稳态情况下,环以恒定的角速度旋转,环上由内膜和外膜引起的扭矩是平衡的。 “梁转子”接口用于模拟涡轮增压器转子 ...扩展阅读
本教学案例使用“层流”接口求解后台阶几何结构中的不可压缩纳维-斯托克斯方程,这种几何结构中流体流动的主要特征是,流体流出狭窄的入口区域后会形成回流区。模型清晰地演示了这种区域的形成,通过将流线可视化 ...扩展阅读
本模型模拟 GaN 基发光二极管器件,计算了发射强度、光谱和效率随驱动电流变化的情况,模拟了带隙的直接辐射复合,以及非辐射俄歇复合和陷阱辅助复合过程。仿真结果表明,发射强度随着电流的增加而呈次线性增加,这是 LED ...扩展阅读
声音由位于该台车内部声场测试壁上的点源产生,模型针对一定的频率范围和四种不同的网格分辨率,研究了测量点处的声压级响应。先使用默认的直接求解器求解模型,最后,演示了如何设置适合求解大型问题的迭代求解器 ...扩展阅读













