“案例下载”页面提供丰富的 COMSOL Multiphysics®教学案例和 App 演示文件,涉及电气、结构、声学、流体、传热和化工等各个学科领域。欢迎下载这些教学案例或 App 演示文件及其随附的操作说明,将其作为您建模仿真工作的绝佳起点。
您可以使用左侧的【快速搜索】工具查找与您的专业领域相关的案例模型和仿真 App。请注意,此处提供的许多案例也可以通过 COMSOL Multiphysics®软件内置的“案例库”进行访问,该选项位于软件的文件菜单中。
中文带有此标签的案例包含中文 PDF 文档。
如果电感器的磁性材料呈非线性,则电感取决于通过它的电流。 本模型由一个具有非线性磁芯的电感器组成,其中小信号电感被模拟为电流的函数。该模型还研究小信号电感对直流电流的依赖关系。扩展阅读
由于对更大功率和更小尺寸的需求,带有轴间轴承的双轴系统正成为燃气轮机发动机的标准配置。这种系统包括两个以不同速度运行的同轴转子,两个转子通过一个多转子轴承相互连接。 在这个示例中,为了确定临界转速 ...扩展阅读
基于表面等离激元的电路广泛应用于等离子体光子芯片、光产生和纳米刻蚀等应用领域。“表面等离激元线光栅分析仪”App 计算介电基板上表面等离激元光栅的折射系数、镜面反射及一阶衍射随入射角的变化。 此模型描述光栅的基本单元 ...扩展阅读
电磁制动器由永磁体组成,后者在旋转的铜盘中产生感应电流;由此产生的涡流与磁通量相互作用,产生洛伦兹力,进而产生制动力矩。圆盘角速度通过 Simulink® 进行计算。扩展阅读
本教学案例介绍如何基于边界处的入射电场设置射线释放。首先用“电磁波,频域”接口求解平面波的电场。然后射线被释放,其初始强度和偏振与释放边界处电场的强度和偏振相匹配。扩展阅读
本例模型执行特征频率分析以对在 +/- y 方向延伸至无限远处的一维多层光子晶体进行带隙分析。 我们针对三种不同的材料属性进行带隙分析,如参考资料 1 第 4 章所述。 案例 1:epsr1 = 13 ...扩展阅读
本例通过移动和缩放几何中的矩形,使用形状优化来设计波导滤波器。在保持双镜对称的同时,通过优化初始几何的虹膜,以确保良好的带通响应和带外抑制。扩展阅读
可持续运行的板式反应器已替代间歇式反应器,成为精细化学和药品生产工业中常用的反应器类型。 板式反应器设计的优点之一是可以有效控制反应流体的温度,因而,由强放热反应释放的热量可以很快地去除 ...扩展阅读
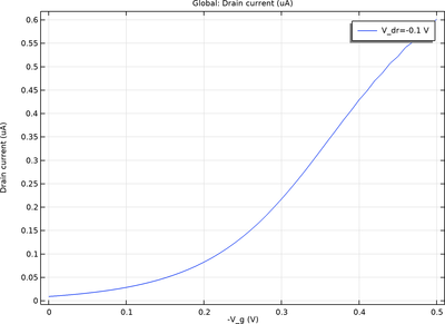
本模型演示如何基于一般的漂移-扩散模型来模拟电解质栅极有机场效应晶体管,其中使用“稳定对流-扩散方程”和“静电”接口,并显示晶体管特性的可视化效果。所模拟器件中 EDL 的形成过程展示了 EGOFET 的关键特性。扩展阅读










